Band ABBA
Bowling
am
5.3.2018
Auswertung
"The winner takes it all"
Der Gewinner bekommt alles



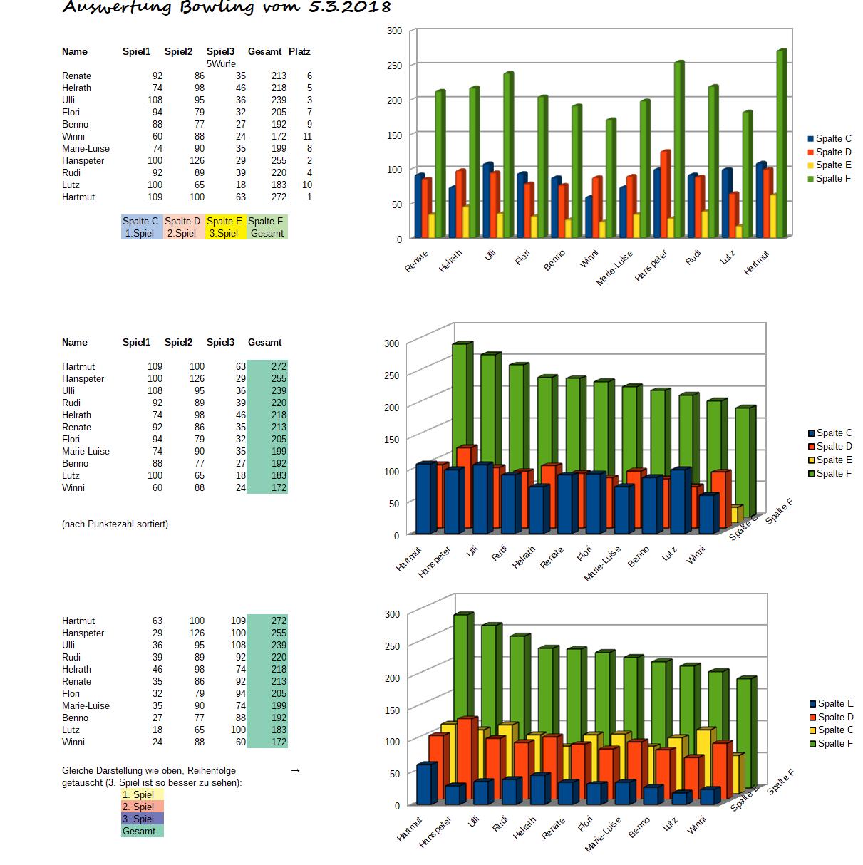
Gruppe1 (6 Spieler) hat beim 3.Spiel nur 5 Runden geschafft, wogegen Gruppe2 (5 Spieler) komplett 10 Runden geschafft hat. Folglich wurden hier mehr Punkte erspielt!
Um vergleichbare Ergebnisse zu erreichen, wurden von Gruppe2 im 3.Spiel auch nur die ersten 5 Runden gewertet.

 

Winner is:
Hartmut mit 272 Punkten

 


Liste Spiel3/Gr1
Liste Spiel3/Gr2
Liste Spiel2/Gr1


Rennert